本文介绍了拉格朗日插值法的原理和步骤,通过构建中间多项式,并进行加权组合,最终得到一个通过所有已知点的多项式。文章详细解释了拉格朗日插值法在包括数据恢复、零知识证明、计算机图形学等领域的应用,并与其他插值技术进行了对比。
还记得那些需要连接点来形成图像的儿童绘画吗? 经过这么多年,我们终于向你展示了一种作弊的方法。
插值是一种估计已知点之间值的方法。 这些点可以是例如温度测量值、图表中的点或仅是绘图中的点。

你可以连接点或进行插值
插值不是简单地连接点,而是为我们提供了一个通过这些点的公式。 在本文中,我们将解释如何使用数学家 约瑟夫-路易斯·拉格朗日 推广的一种方法来实现这一点。
首先,让我们确定几个术语:
13、— 5 和 7 是函数 f(x) = 13x^4 — 5x + 7 中的系数(最后一个变量是隐式的 x^0)。x 的幂组成的函数。 系数通常来自你知道的数字,例如整数或分数。4。我们将在本文中通篇使用多项式,因为拉格朗日插值会生成多项式。
在一组点上执行插值会生成一个通过每个提供的点的多项式。
例如,假设我们有 (1,3) 和 (3,5) 这两个点。 我们稍后将详细介绍如何执行插值,但现在,这里有两个通过这些点的多项式:f(x) = x + 2 和 f(x) = x^3 — 12x + 14。

拉格朗日插值总是返回通过所有点的 最低可能阶数的唯一多项式。 例如,即使蓝色曲线也通过这些点,拉格朗日也会返回红线,因为它具有最小的阶数。
通常,最小阶数比点数少一。 然而,在极少数情况下,这些点可能会完全对齐,从而允许使用较低阶的多项式。 例如,在我们之前的示例中,在 (2,4) 处添加第三个点仍然允许同一条红线插值所有点。
考虑点 (3,5)。 通过此点的最小阶数的多项式是什么?
对于我们的点,我们知道 x = 3 得到 y = 5。 由于我们只有一个点,因此没有关于多项式在其他地方应如何表现的信息。 最低阶的选择是不随 x 变化的常数多项式:f(x) = 5。

一旦我们有更多的点,事情就会变得更有趣(也更具挑战性)。
让我们再次使用点 (1,3) 和 (3,5)。
我们知道我们可以通过绘制一条直线来连接两个点。 我们如何获得对应于这条线的多项式?
一条线是 1 阶多项式:f(x) = ax + b,其中 a 告诉我们当 x(斜率)增加时线升高得有多快,而 b 是当 x = 0 时多项式的结果值。
要找到斜率 a:

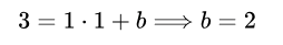
由于我们还不知道 b,我们可以通过要求该线通过我们的一个点来解决它。 让我们将 (1,3) 和 a 的值代入我们的函数 f(x) = ax + b:

通过代入 a 和 b,我们得到最终多项式 f(x) = x + 2。
如果我们添加更多的点,同样的推理也适用,但计算很快就会变得混乱。 拉格朗日插值为我们提供了一种更简洁的处理方式。
基本思想很简单:
1,在所有其他点等于 0。 我们将这些多项式称为 L_i,其中 i 是点的索引。y 值加权。 将每个中间多项式乘以该点对应的 y 值。 我们将这些多项式称为 P_i,其中 i 再次是点的索引。
我们将在下面详细介绍
让我们通过一个具体的例子来完成这些步骤。 我们将再次使用点 (1,3) 和 (3,5)。
首先,让我们为点 (1,3) 创建中间多项式。 我们想要一个多项式,它:
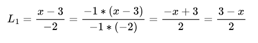
x = 1 处为 1。0。 我们只有一个其他点:(3,5)。 所以多项式需要在 x = 3 处为 0。从第二个要求开始,我们从一个在点 x = 3 处等于 0 的项开始。 最简单的选择是 x — 3。 在 x = 3 处,该项为 3 — 3 = 0,因此符合我们的要求。
为了满足第一个要求,我们需要调整 x - 3,使其在 x = 1 处等于 1。 在 x = 1 处,项 x - 3 为 1 – 3 = -2。 为了使 -2 等于 1,我们将其除以 -2:-2 / -2 = 1。 因此,我们的第一个中间多项式变为:

以及相同的多项式,在视觉上:

该多项式满足我们的要求:当 x=1 时为 1,当 x=3 时为 0
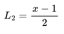
我们可以使用相同的逻辑来计算第二个中间多项式:
x = 1 处等于 0 的项。 最简单的选择是 x - 1。x — 1,使其在 x = 3 处等于 1。 计算 3 — 1 = 2。 因此,为了使 2 等于 1,将其除以 2。
在视觉上:

该多项式满足我们的要求:当 x=3 时为 1,当 x=1 时为 0
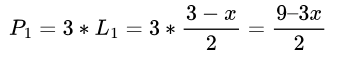
如果我们按原样组合中间多项式,则每个点的 y 值将仅为 1。 我们的点具有不同的 y 值。 为了解决这个问题,我们用其点的实际 y 值来加权每个中间多项式。
请记住,我们的点是 (1,3) 和 (3,5)。
为了加权第一个中间多项式,我们将其乘以该点的 y 值:

第二个:

现在我们有了独立的多项式,每个多项式都达到其对应的点,并且在其他点均为零。 为了获得最终结果,我们只需将这些多项式相加:

我们得到与没有拉格朗日相同的结果。 在视觉上,构造看起来像这样:

红色 + 蓝色 = 紫色
相同的逻辑适用于任意数量的点。
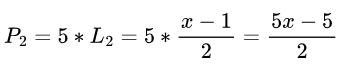
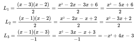
让我们添加第三个点。 我们的点是:(1,3)、(3,5) 和 (2,6)。
对于点 (1,3),我们想要一个中间多项式,它:
x = 1 时为 1。x = 3 和 x = 2 时为 0。再次从第二个要求开始,我们可以看到最简单的选择是 (x — 3)(x - 2)。 对于该项,如果 x = 3 或 x = 2,则结果为零(对于任何一个值,其中一个边变为零,使整个乘法为零)。
为了满足第一个要求,让我们调整 (x — 3)(x - 2),使其在 x=1 处等于 1。 在 x=1 处,项 (x - 3)(x - 2) 为 (1 – 3)(1 – 2) = 2。
按照相同的逻辑,我们可以构造所有中间多项式:

加权多项式:

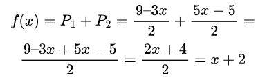
最后,我们对多项式求和:

这是相同的过程,在视觉上:

红色 + 蓝色 + 橙色 = 绿色
玩点和线很有趣,但这有什么用呢?
这些点不需要只是图表上的点,它们可以代表真实的数据。 插值使我们能够将分散的值转化为完整的画面,这种想法有很多强大的用途:
拉格朗日插值并不是唯一酷炫的方法:还存在其他插值技术。
事实上,它通常不是插值点的最有效方法。 但它 是 最容易理解和使用的方法之一,这使得它非常适合学习和教学。
对于实际应用,通常改用称为 快速傅里叶变换 的方法。
好的,这对儿童绘画来说不是超级有用。 但当你需要找到一个通过给定点集的多项式时,它是一种强大的方法。
核心思想保持不变,无论你添加多少个点:构建简单的中间多项式,对其进行加权,然后将它们加在一起。 你拥有的点越多,细节上的工作就越多,但原理永远不会改变。
这就是使拉格朗日插值有价值的原因:它易于理解,保证给出唯一的结果,并且易于在代码中实现。
感谢 Frank Mangone 审阅了本文的一个版本,并确保其有意义!
我是一名 ZK 和 EVM 自由职业者。 我主要从事 零知识主题和生态系统 的开发和写作。 想聊聊吗? 联系我!
- 原文链接: medium.com/@laurippelton...
- 登链社区 AI 助手,为大家转译优秀英文文章,如有翻译不通的地方,还请包涵~
如果觉得我的文章对您有用,请随意打赏。你的支持将鼓励我继续创作!
作者暂未设置收款二维码