DIZK,Distributed Zero Knowledge,分布式的零知识证明系统。在分布式环境下,DIZK能支持超大规模电路(10亿门级别)的计算。
经常有人在提及超大电路证明的时候,谈到DIZK。最近有空,我就看了看DIZK的论文以及源代码。总的来说,从技术人的角度来说,还是有点惊喜,DIZK利用分布式数据处理Apache Spark平台,实现了zk-SNARK证明系统。
DIZK论文是Howard Wu等在2018年发表。论文的下载地址如下:
https://eprint.iacr.org/2018/691.pdf
DIZK,Distributed Zero Knowledge,分布式的零知识证明系统。在分布式环境下,DIZK能支持超大规模电路(10亿门级别)的计算。而且,论文给出的测试数据表明,DIZK的计算性能随着分布式实例的增长,线性增长。
虽然DIZK是分布式零知识证明系统,零知识证明的协议和计算和传统的证明系统非常像。论文通过两张图给出了两者的区别和联系:

左边代表的是传统的零知识证明(zk-SNARK)系统,主要由三部分计算组成:Setup/Prover/Verifier。右边代表是DIZK的逻辑框架。DIZK将Setup/Prover的计算用分布式实现,计算之间的依赖也用分布式数据表示。Verifier相对来说简单(毫秒级的计算),不需要分布式实现。
DIZK描述R1CS和QAP的符号体系和其他论文也有点不一样。一个R1CS实例$\phi =(k,N,M,a,b,c)$表示:k代表是输入个数,N是变量个数,M是R1CS的门的个数,a/b/c是一个(1+N)xM的矩阵。每个门由如下的表达式表示:
$(\sum ^N_{i=0}a_{i,j}z_i)\cdot(\sum ^N_{i=0}b_{i,j}z_i)=\sum ^N_{i=0}c_{i,j}z_i$
其中的Zi是所有的输入信息(包括公开输入和隐私输入信息,也就是statement和witness)。
QAP的实例$\Phi =(k,N,M,a,b,c)$表示:k代表是输入个数,N是变量个数,M是R1CS的门的个数,A/B/C是一个长度为1+N的多项式向量,每个多项式的阶小于M。给定输入信息,QAP的实例满足: $(\sum^N_{i=0}A_i(X)z_i) \cdot (\sum^N_{i=0}B_i(X)z_i) = \sum^N_{i=0}C_i(X)z_i + (\sum^{M-2}_{i=0}h_iX^i) \cdot Z_D(X)$
在定义了R1CS和QAP后,DIZK论文给出了Groth16的计算公式(第9页)。
Setup生成Pk/Vk,计算公式如下:


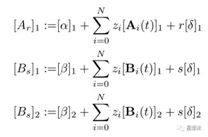
Prover生成证明,计算公式如下:


Verifer验证某个证明是否成立,计算公式如下:

Apache Spark是大数据分布式处理框架。可以查看Spark官方介绍理解Spark的一些逻辑:
http://spark.apache.org/docs/latest/cluster-overview.html

物理上,Spark框架包括三个角色:Driver Program就是Spark框架上编写的程序,Cluster Manager就是集群管理节点,Worker Node就是集群节点。从软件角度看,SparkContext维护了整个程序的执行环境。所有的计算会分解成一个个的Task,所有的Task都由Executor执行。
RDD(Resilient Distributed Datasets)是Spark框架下大数据的表示。你可以理解,RDD是分布式的数据表示。
DIZK设计中,R1CS的电路采用RDD数据表示,因为R1CS电路随着电路门的个数变大而变大。Pk(pubilc key)页是随着门和R1CS的contraint的个数变大而变大,也采用RDD表示。输入信息包括两部分:公开的输入信息和隐私的输入信息。一般来说,公开的输入信息比较小,DIZK直接采用一般向量表示。隐私信息采用RDD数据表示。
在Spark的框架上,DIZK设计了Setup和Prover的计算框架:

Setup包括两步:1)Lag(拉格朗日插值),R1CS到QAP的转化过程 2)fixMSM - 定点的多倍点加法。Prover也包括两步:1)FFT(计算H多项式)2)varMSM - 不定点的多倍点加法。
DIZK在第4章详细描述了FFT/Lag/fixMSM/varMSM四个计算都能采用分布式算法。简单的说,FFT的分布式算法相对复杂一些,其他三个计算天生可以分布式计算。
分布式计算的核心,是让多个executor执行的计算量尽量均匀。在Lag的计算步骤中,因为R1CS的(1+N)xM的矩阵是稀疏矩阵,DIZK提出了让多个executor均匀计算的方法。
Lag的计算的公式如下:
$(A_i(t))^N_{i=0} where A_i(t) := \sum^M_{j=1}a_{i,j}L_j(t)$
如果a矩阵是个密集型矩阵的话,只要均匀的切分计算量即可。但是,在现实应用中,a矩阵是个稀疏矩阵。DIZK提出的方法也比较简单明了:预先处理矩阵,统计每列的非零个数。非零个数,代表了计算量。然后再根据这些非零个数,确定计算量的划分。
DIZK论文给出了分布式计算的测试结果:

简单的说,DIZK的Setup和Prover计算性能随着计算节点的个数增长成线性增长。
DIZK,是在Spark大数据计算框架下的分布式零知识证明系统。DIZK详细分析了Groth16的计算,并针对几个计算模块提出了分布式计算算法。从DIZK的测试数据看,DIZK的Setup和Prover计算性能随着计算节点的个数增长成线性增长。
我是Star Li,我的公众号星想法有很多原创高质量文章,欢迎大家扫码关注。

如果觉得我的文章对您有用,请随意打赏。你的支持将鼓励我继续创作!
作者暂未设置收款二维码