本文介绍了Ingonyama团队在2023年ZPrize竞赛中获得第一名的基于FPGA的MSM加速方案。该方案首次在加速器平台上实现了批量仿射椭圆曲线加法,显著降低了MSM的计算负担。该设计在AMD Alveo U250 FPGA上实现了高性能,支持BLS12-381和BLS12-377曲线,并在未来异构计算中具有广阔的应用前景。
ZPrize 2023 一等奖
作者:Tony Wu

零知识证明 (ZKPs) 在计算上极其昂贵,其中多标量乘法 (MSM) 在许多 ZK 证明系统中占据主导地位。2023 年 ZPrize 竞赛(奖项 1A)要求参赛者加速 NVIDIA GPU 或 AMD FPGA 上的 MSM。
这篇博文中描述的工作是 ZPrize 2022 获奖者 Niall Emmart(来自 Yrrid Software)和 Ingonyama 的 Tony Wu 之间的合作。Niall 是该项目的架构师,Tony 负责实施。
为了在多个椭圆曲线上实现更高的性能,该团队首次在加速器平台上实现了用于椭圆曲线加法的 批量仿射 方法。这种方法显著降低了与 MSM 相关的计算负担,标志着基于硬件的 ZK 计算取得了显著进展。该设计的一些主要亮点:
这篇博文深入探讨了实现的细节,概述了架构,并深入研究了使设计工作的关键组件。最后,我们讨论了对未来 ZK 硬件的影响,以及实现我们最终目标(端到端 ZK 加速)的下一步措施。
今年竞赛的挑战(奖项 1A)包括使用 AMD Alveo U250 FPGA 卡 尽快计算一批大小为 2²⁴ 的四个 MSM。

AMD U250 FPGA
与去年的比赛相比,一个显著的变化是要求同时支持 BLS12–381 和 BLS12–377 曲线。以前,比赛只关注 Aleo 使用的 BLS12–377 曲线。在去年的比赛中,人们发现 BLS12–377 曲线可以映射到计算效率更高的“扭曲爱德华兹”表示。新的要求旨在更广泛地推进 MSM 处理的最新技术,因为 BLS12–381 缺乏扭曲爱德华兹表示。
多标量乘法 (MSM) 是椭圆曲线密码学 (ECC) 中的一个基本运算。它涉及计算标量向量 𝑠 和椭圆曲线点向量 𝑃 的元素乘积之和。

对于 BLS12–381,标量为 255 位宽,点的每个坐标为 381 位。这意味着当向量大小很大时(在我们的例子中为 2²⁴),MSM 的计算量非常大。
计算 MSM 最快的算法是桶方法(又名 Pippenger 算法),它通过将标量切分为 𝑚 个 𝑤 位的窗口,将问题分解为更小的 MSM。

因此,我们可以并行计算 𝑚 个小的 MSM,然后将部分结果相加。
我们不会在这篇博客中更详细地描述桶方法,因为它是计算 MSM 的典型方式。更多信息请参见:
由于标量乘法定义为点的重复相加,因此 MSM 的主要计算成本是所需的大量椭圆曲线加法。因此,优化实现 EC-adder 所需的 FPGA 资源量非常重要。
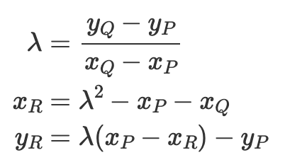
仿射坐标中 ec-addition 𝑃+𝑄=𝑅 的公式为:

我们可以看到,为了计算 𝜆,我们需要执行除法。由于我们在素数域上运算,因此需要模逆运算,这非常昂贵。
因此,大多数先前的 MSM 设计选择将典型的 (𝑥,𝑦) 坐标(称为仿射坐标)扩展为扩展坐标,这用更多的乘法运算来换取除法运算。例如,使用扩展雅可比坐标 (𝑥,𝑦,𝑧𝑧)+(𝑥,𝑦):
U2 = X2 * ZZ1
S2 = Y2 * ZZZ1
P = U2 - X1
R = S2 - Y1
PP = P2
PPP = P * PP
Q = X1 * PP
X3 = R2 - PPP - 2*Q
Y3 = R * (Q - X3) - Y1 * PPP
ZZ3 = ZZ1 * PP
ZZZ3 = ZZZ1 * PPP
有一种众所周知的方法称为 蒙哥马利技巧,可用于廉价地计算一批值的逆。也就是说,如果我们想计算 1/𝑎、1/𝑏、1/𝑐 和 1/𝑑,我们可以首先通过将它们相乘来 批量 输入:

然后计算批量逆:

然后我们可以通过 解批处理 它们来获得各个逆:

虽然这在理论上看起来很简单,但很难实现。这是因为这种公式没有考虑实现此目的所需的乘法器的延迟,也没有考虑必须保存以进行解批处理的所有中间值。
在我们的设计中,我们以蒙哥马利技巧的精神实现了批量仿射 EC-加法,但我们自己的两步批处理方法使其可以物理地在 FPGA 上实现。
对于我们的设计,我们选择将标量切分为 21 个窗口,每个窗口 13 位。我们使用 带符号切片技巧 来将切片减少到只有 12 个物理位。
我们的设计包括以下关键组件:
\* 每个计算单元负责 21 个窗口中的 7 个,并且能够在每个时钟周期执行一个 EC-加法。
\* 每个计算单元包含 6 个模块化乘法器。
\* 反相器包含 2 个模块化乘法器。

现在让我们看看数据流:
注意:我们将引用诸如 42、336 和 1008 之类的魔术数字。这些数字是经过策略性选择的,同时考虑了我们设计的各种参数和约束,但是我们不会在这篇博客中详细介绍。
\* (注意,我们可以将下一组标量传输与第一次执行重叠)
完成阶段
放大计算单元,我们看到点-标量对首先流经 点标记器,它使用检索 ID 标记传入点,并将该点保存到缓存中。然后,标量流向 切片器,它将标量转换为桶索引和其他元数据。然后,这些元数据包被发送到它们各自的窗口通道。
在每个窗口通道中,元数据包首先进入 冲突处理程序,该处理程序旨在避免桶冲突。当一个 EC 操作尝试访问与仍在进行中的较早操作(即,结果尚未写回)相同的桶时,就会发生冲突。冲突处理程序会尝试通过重新排序来自切片器的操作来避免冲突。当桶正在进行中时,桶会被标记为 锁定,而当桶被写回时,会被标记为 解锁。当检测到访问锁定的桶时,冲突处理程序会尝试将新操作与不再冲突的先前挂起操作进行交换(即,它寻址的桶已被解锁)。冲突操作被保存到挂起缓冲区中,而非冲突操作被转发到流水线中,到达窗口内存。在我们的模拟中,我们看到在整个 MSM 计算过程中,挂起缓冲区中的操作数量稳定在 35 个条目左右(同时假设一个操作将处于运行状态约 3500 个时钟周期)。

计算单元设计
在索引并检索其各自的桶值之后,操作将等待由 调度程序 按轮询顺序进行调度。在调度期间,元数据中包含的检索 ID 用于从缓存中检索相关点。这种点缓存方法非常重要,因为它使我们不必在通过冲突处理程序的每个 EC 操作中保留该点的单独副本,否则将导致 7 倍的内存使用量。一旦一个 ID/标签被访问了七次,缓存条目将被释放,并且该 ID 可以被重用。
调度后,点 (𝑃) 和桶 (𝑄) 将排队到 EC-adder 的输入端,并且它们的 x 坐标被馈送到 dx 压缩器,这是计算批量反演的第一阶段。我们首先计算分母,dx = xᵩ — xₚ。然后,我们将 336 个分母(𝑑𝑥 的分母)批量处理在一起,并将此数据视为 8 个向量,每个向量包含 42 个元素:

dx 压缩器按元素顺序将 8 个向量相乘,以生成一个长度为 42 的向量,计算:

这是通过按顺序将向量元素馈送到乘法器中来完成的,该乘法器将结果重新用作第二个输入操作数。这是我们批处理/压缩过程的第一步,并且在每个计算单元中本地完成。然后,将最终的 42 个产品发送到共享反相器,同时保存中间产品以供解批处理/解压缩过程中使用。
注意:这意味着我们的乘法器的延迟必须小于 42 个周期才能有效(即,无停顿)。

向量压缩(dx 压缩器)
当 42 个逆返回时,将使用压缩器产生的中间产品将其解压缩回 336 个逆。然后,这些逆允许 EC-adder 执行并将结果写回窗口内存。
现在放大到共享反相器,我们看到它从三个计算单元中的每个单元接收 42 个字段值,并使用树状结构将 126 个字段元素进一步压缩为仅 4 个字段元素。

反相器设计
下图显示了我们将如何将 8 个字段元素压缩为 2 个字段元素的迷你示例。在下面,我们假设我们有元素 𝑎,𝑏,𝑐,𝑑,𝑒,𝑓,𝑔,ℎ,并且我们将它们视为两个二叉树的叶节点。叶节点的父节点通过子节点的乘积来计算,并且这种计算会以递归方式一直持续到根节点。为了能够解压缩批量逆 (1/𝑎𝑏𝑐𝑑, 1/𝑒𝑓𝑔ℎ),我们需要保存所有中间节点的值。

树压缩
反转后,我们从根节点开始,然后逐步返回到单个逆。在每个节点,我们可以通过乘以先前保存的右子节点来派生左子节点。类似地,我们可以通过乘以先前保存的左子节点来派生右子节点。

树解压缩(Untree)
在完整的情况下,我们有 126 个叶节点和 4 个根节点。我们选择压缩为并反转 4 个字段元素而不是 1 个字段元素的原因再次是由于我们乘法器的延迟。
我们在反相器内部使用两个完全流水线的乘法器,一个用于压缩器树,另一个用于解压缩器 untree。通过完全流水线化,我们的意思是每个乘法器可以每个周期处理一次乘法,但是结果不会立即可用。当输入呈现时和当对应的输出准备就绪时,时钟周期之间存在一定的延迟。当我们处理树的各层时,我们可以用来填满流水线的并行操作越来越少。因此,当我们接近根时,我们的处理效率会降低,并且我们确定如果我们一直压缩到一个根,实际上会降低我们的反相器吞吐量。
由于我们的一些乘法器对低延迟有要求,因此我们试验了几种乘法器设计。我们提出了三种针对不同目的优化的乘法器设计:
\* 延迟:250MHz 时为 22 个周期 - 400MHz 时为 38 个周期
\* DSP:413
\* LUT:约 24K
\* 延迟:>42 个周期
\* DSP:372
\* LUT:约 27K
\* 延迟:>80 个周期
\* DSP:346
\* LUT:约 38K
最后,我们只使用了 LL 乘法器和 MA 乘法器。我们确定,虽然使用 LA 乘法器会节省我们更多的 DSP,但它会造成更多的路由拥塞,并会延长编译时间。
我们已将 BLS12–377 和 BLS12–381 设计提交给 ZPrize。两种设计都以 250MHz 的时钟频率运行,实现了 每秒 7.5 亿次 EC 操作。这使我们的设计能够在 2.04 秒 内计算一批四个 2²⁴ MSM !这是一个重要的成就,尤其是对于不存在扭曲爱德华兹表示的 BLS12–381 而言。此结果比去年仅支持 BLS12–377 的 ZPrize 获奖者快 2.5 倍(调整为 2²⁴)。
下图显示了我们的三个计算单元在 FPGA 上的物理映射。

如下表所示,我们的总资源使用率非常低。这意味着绝对还有增长空间!虽然我们没有足够的 DSP 资源来实例化另一个计算单元,但我们可以将 LUT 和 FF 预算用于积极的流水线化以提高时钟频率。

另一个有趣的注意事项是我们的功耗仅为 120W,其中 85W 用于 MSM 计算,35W 用于 shell(包括 DDR4 和 PCIe 基础设施)。这意味着我们在 225W 卡上拥有充足的功率裕量。如果我们提高计算频率,我们预计 MSM 部分的功耗会随着频率线性增加,而 shell 功耗将保持大致相同。
凭借充足的资源和功率裕量,我们有信心只需少量工作即可将频率提高到 400MHz。这将使性能进一步提高 1.6 倍,从而实现 每秒 12 亿次 EC 操作。
一个阻碍潜在性能的方面是提供的 FPGA 卡上缺少 HBM(高带宽内存)。如果具有足够的带宽,我们将能够使用更大的窗口大小,就像在 GPU 上通常所做的那样。这将大大减少计算 MSM 所需的 EC 操作数量。
我们很高兴展示在硬件中实现的批量仿射 EC-加法的第一个示例。借助提供的 FPGA 设计,我们现在已经在性能的有效范围内,而这种性能目前只能在高端 GPU 上实现。
我们应该记住,U250 FPGA 卡于 2018 年发布,基于 TSMC 16nm 工艺。我们期待 AMD 即将推出的基于 7nm 和 3nm 的卡,这将大大提高性能。我们特别期待的一项功能是片上网络,它在 AMD 的 Versal 设备上可用,这将大大简化我们设计中遇到的复杂的数据移动。
此外,我们容忍延迟的设计为探索有趣的新途径开辟了道路。例如:在 AMD 的 Versal 设备中使用高延迟 AI 引擎,并将 GPU 的原始计算能力与 FPGA 的灵活性相结合,以进一步加速。
最后,这将我们引向异构计算。零知识证明不仅仅涉及 MSM,还需要加速大量操作才能实现端到端加速。CPU 和加速器以集成的异构方式协同工作非常重要。我们已经看到主要的硬件供应商推出了异构计算机,例如 Nvidia 的 Grace-Hopper、AMD 的 MI300A 和 Versal 产品。迈向端到端 ZK 加速!
请观看我们在 ZK-Accelerate Athens 与 AMD 的 @hamid_r_salehi 的联合演示!
AMD 的 Hamid Salehi 和 Ingonyama 的 Tony Wu 展示了 ZPrize '23 及其对未来 ZK 硬件的影响
Ingonyama
•
Twitter:https://twitter.com/Ingo_zk
YouTube:https://www.youtube.com/@ingo_zk
GitHub:https://github.com/ingonyama-zk
LinkedIn:https://www.linkedin.com/company/ingonyama
加入我们:https://www.ingonyama.com/career
- 原文链接: medium.com/@ingonyama/de...
- 登链社区 AI 助手,为大家转译优秀英文文章,如有翻译不通的地方,还请包涵~
如果觉得我的文章对您有用,请随意打赏。你的支持将鼓励我继续创作!